Постановление Правительства Амурской области от 29.11.2016 № 536
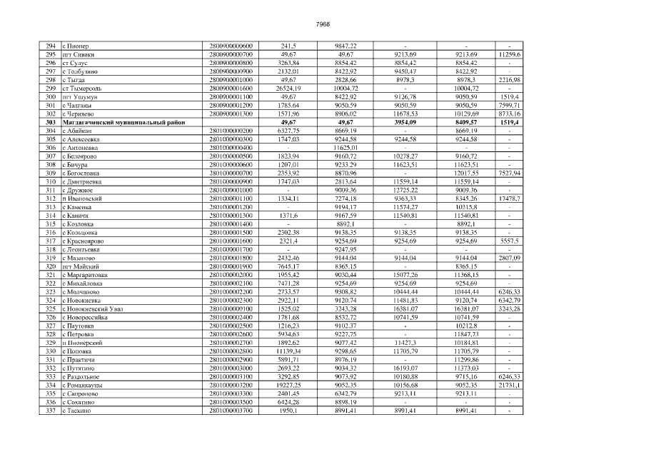
"Об утверждении результатов определения кадастровой стоимости объектов недвижимости (зданий, сооружений, помещений, объектов незавершенного строительства) на территории Амурской области"
"Об утверждении результатов определения кадастровой стоимости объектов недвижимости (зданий, сооружений, помещений, объектов незавершенного строительства) на территории Амурской области"
Номер опубликования: 2800201612010001
Дата опубликования:
01.12.2016
