Официальное опубликование правовых актов
ОФИЦИАЛЬНОЕ ОПУБЛИКОВАНИЕ
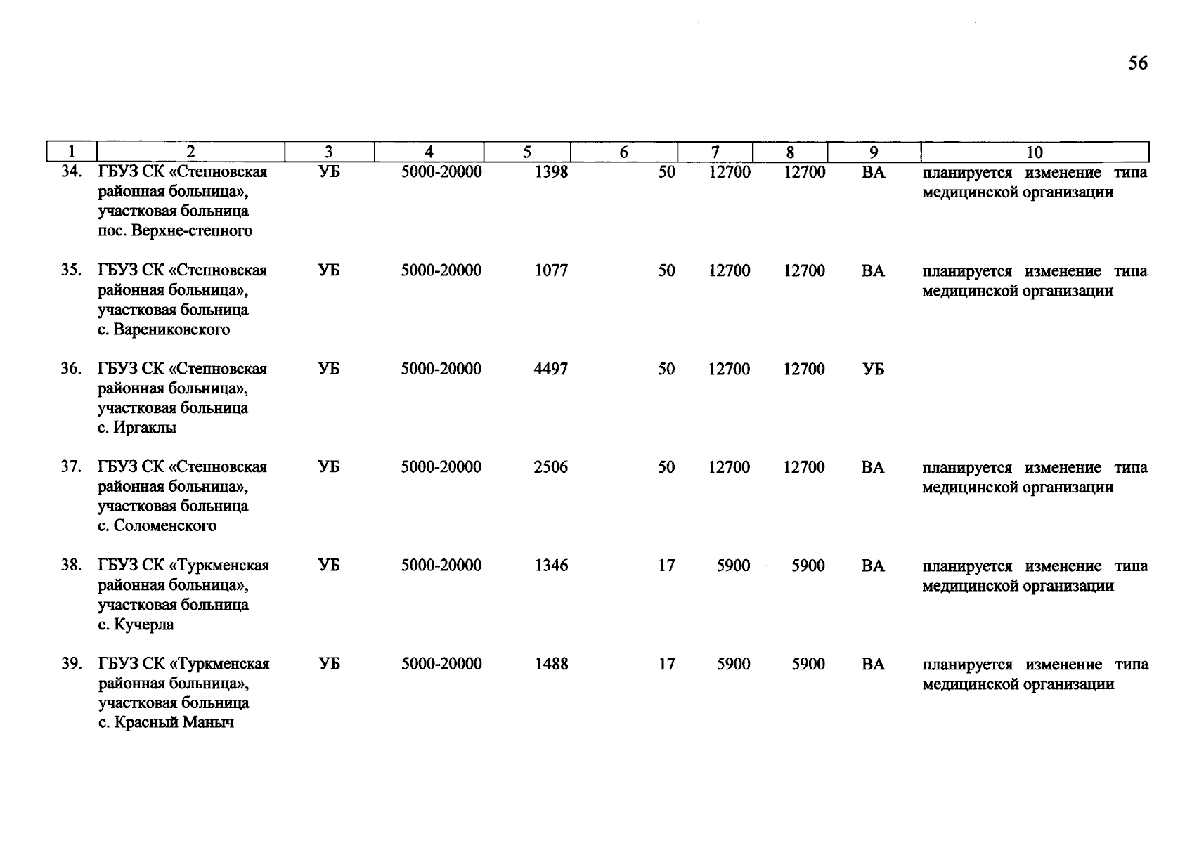
Постановление Правительства Ставропольского края от 29.12.2025 № 718-п
"О внесении изменений в краевую программу "Программа модернизации первичного звена здравоохранения в Ставропольском крае", утвержденную постановлением Правительства Ставропольского края от 14 декабря 2020 г. № 671-п"
Номер опубликования: 2600202512300002
Дата опубликования: 30.12.2025
Страница №729 из 1148:
Увеличить