Официальное опубликование правовых актов
ОФИЦИАЛЬНОЕ ОПУБЛИКОВАНИЕ
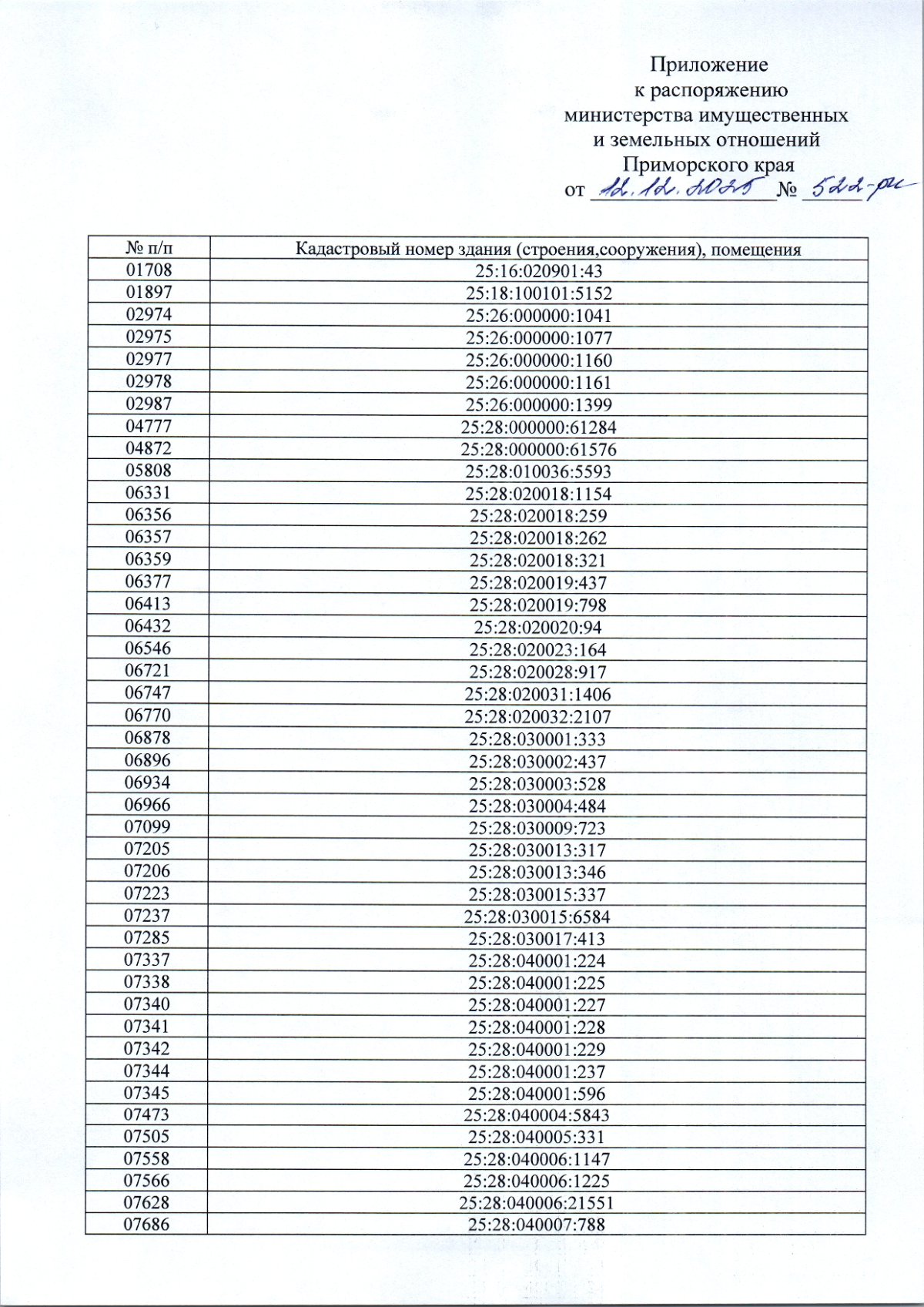
Распоряжение Министерства имущественных и земельных отношений Приморского края от 12.12.2025 № 522-ри
"О внесении изменений в распоряжение министерства имущественных и земельных отношений Приморского края от 24 декабря 2024 года № 596-ри "Об утверждении Перечня объектов недвижимого имущества, в отношении которых налоговая база определяется как кадастровая стоимость, на 2025 год"
(Зарегистрирован 15.12.2025 № 2799)
Номер опубликования: 2501202512170017
Дата опубликования: 17.12.2025
Страница №4 из 5:
Увеличить