Официальное опубликование правовых актов
ОФИЦИАЛЬНОЕ ОПУБЛИКОВАНИЕ
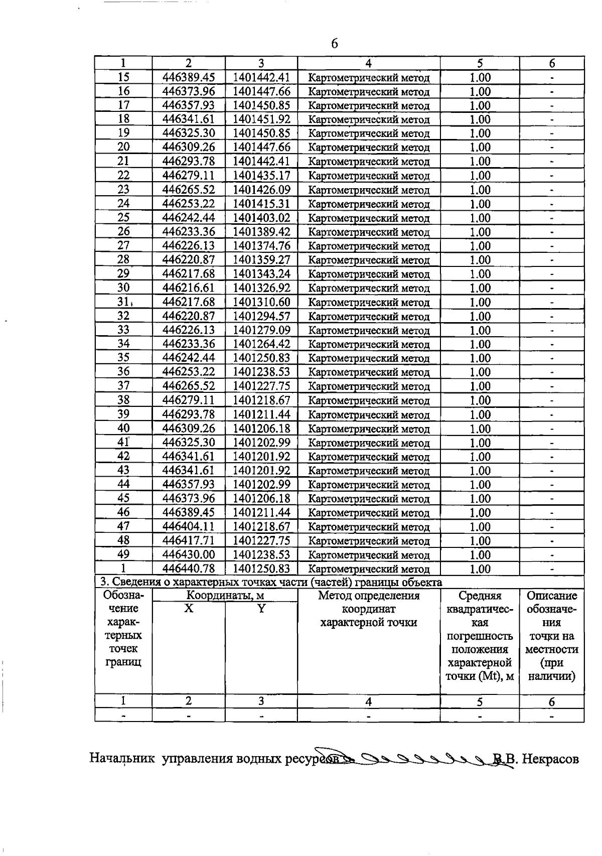
Приказ министерства природных ресурсов Краснодарского края от 11.11.2025 № 1729
"Об установлении зон санитарной охраны источника питьевого и хозяйственно-бытового водоснабжения акционерного общества "Черноморские магистральные нефтепроводы" в муниципальном образовании муниципальный округ город Горячий Ключ"
Номер опубликования: 2301202511180003
Дата опубликования: 18.11.2025
Страница №8 из 10:
Увеличить