Официальное опубликование правовых актов
ОФИЦИАЛЬНОЕ ОПУБЛИКОВАНИЕ
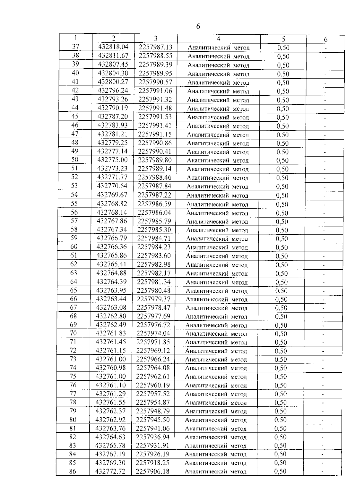
Приказ министерства природных ресурсов Краснодарского края от 03.07.2025 № 1067
"Об установлении зон санитарной охраны источника питьевого и хозяйственно-бытового водоснабжения общества с ограниченной ответственностью "АШДВАО" в муниципальном образовании Мостовский район"
Номер опубликования: 2301202507080007
Дата опубликования: 08.07.2025
Страница №8 из 14:
Увеличить