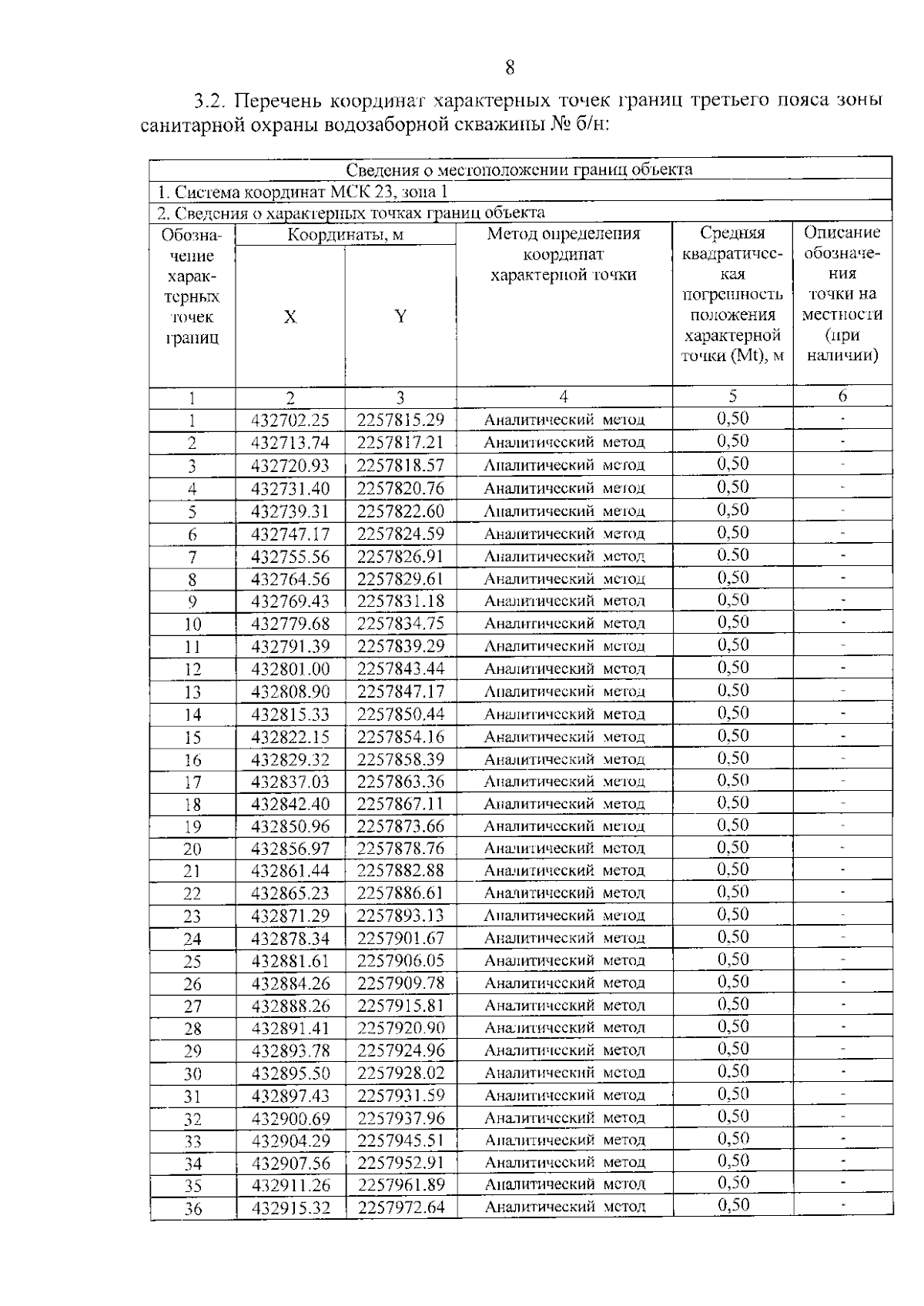
Приказ министерства природных ресурсов Краснодарского края от 03.07.2025 № 1067
"Об установлении зон санитарной охраны источника питьевого и хозяйственно-бытового водоснабжения общества с ограниченной ответственностью "АШДВАО" в муниципальном образовании Мостовский район"
"Об установлении зон санитарной охраны источника питьевого и хозяйственно-бытового водоснабжения общества с ограниченной ответственностью "АШДВАО" в муниципальном образовании Мостовский район"
Номер опубликования: 2301202507080007
Дата опубликования:
08.07.2025
