Официальное опубликование правовых актов
ОФИЦИАЛЬНОЕ ОПУБЛИКОВАНИЕ
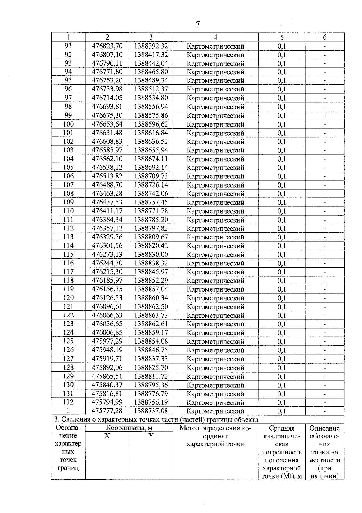
Приказ министерства природных ресурсов Краснодарского края от 16.01.2024 № 30
"Об установлении зон санитарной охраны источника питьевого и хозяйственно-бытового водоснабжения общества с ограниченной ответственностью "Крамис-К" в муниципальном образовании город Краснодар"
Номер опубликования: 2301202401230002
Дата опубликования: 23.01.2024
Страница №9 из 12:
Увеличить