Официальное опубликование правовых актов
ОФИЦИАЛЬНОЕ ОПУБЛИКОВАНИЕ
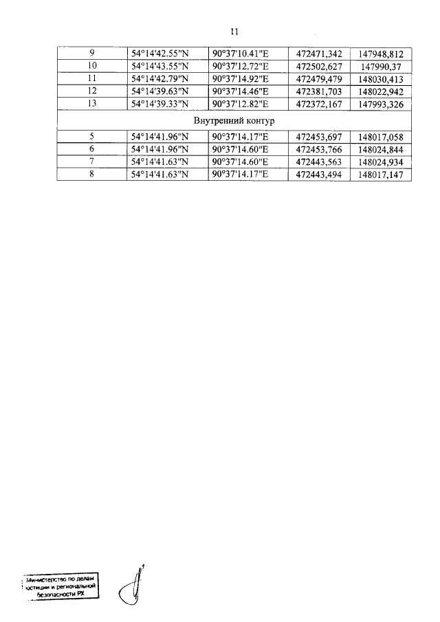
Постановление Правительства Республики Хакасия от 25.04.2019 № 182
"Об утверждении границ зон охраны объектов культурного наследия (памятников истории и культуры) народов Российской Федерации регионального значения, расположенных на территории Боградского района Республики Хакасия, особых режимов использования земель и требований к градостроительным регламентам в границах данных зон"
Номер опубликования: 1900201904250002
Дата опубликования: 25.04.2019
Страница №11 из 14:
Увеличить