Официальное опубликование правовых актов
ОФИЦИАЛЬНОЕ ОПУБЛИКОВАНИЕ
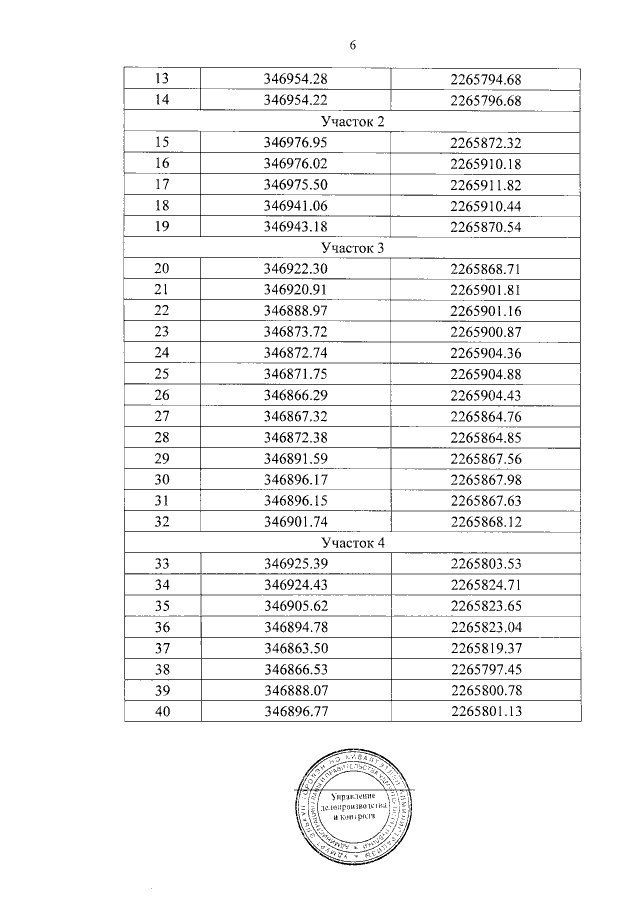
Постановление Правительства Удмуртской Республики от 09.06.2021 № 291
"Об установлении зон охраны объекта культурного наследия регионального значения "Дом купца Леденцова, начало XX в." и утверждении требований к градостроительным регламентам в границах территорий данных зон"
Номер опубликования: 1800202106150014
Дата опубликования: 15.06.2021
Страница №8 из 12:
Увеличить