Официальное опубликование правовых актов
ОФИЦИАЛЬНОЕ ОПУБЛИКОВАНИЕ
Постановление Правительства Удмуртской Республики от 28.12.2020 № 645
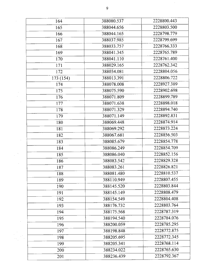
"Об установлении объединенной зоны охраны объектов культурного наследия федерального значения "Здание денежной кладовой", "Александро-Невский собор, 1820 – 1823 гг., арх. Захаров А.Д., Дудин С.Е.", объектов культурного наследия регионального значения "Ансамбль купеческих зданий", "Гостиница", "Дворец культуры "Машиностроитель" (Клуб-театр металлистов им. 10-летия Октябрьской революции – КОР)", "Гражданское здание, с 1917 г. по 1921 г. – клуб коммунистов", "Корпус ложевых сушил", "Пивоваренный завод", "Здание бывшего офицерского собрания и оружейной школы, где в 1917 году была провозглашена Советская власть в г. Ижевске", "Общественный сад и его ограда" (в состав ансамбля входят: "Общественный сад" и "Ограда"), расположенных в городе Ижевске, и утверждении требований к градостроительным регламентам в границах территории данной зоны"
Номер опубликования: 1800202012300021
Дата опубликования: 30.12.2020
Страница №12 из 41:
Увеличить