Постановление Государственного комитета по ценовой политике Республики Саха (Якутия) от 16.12.2021 № 292
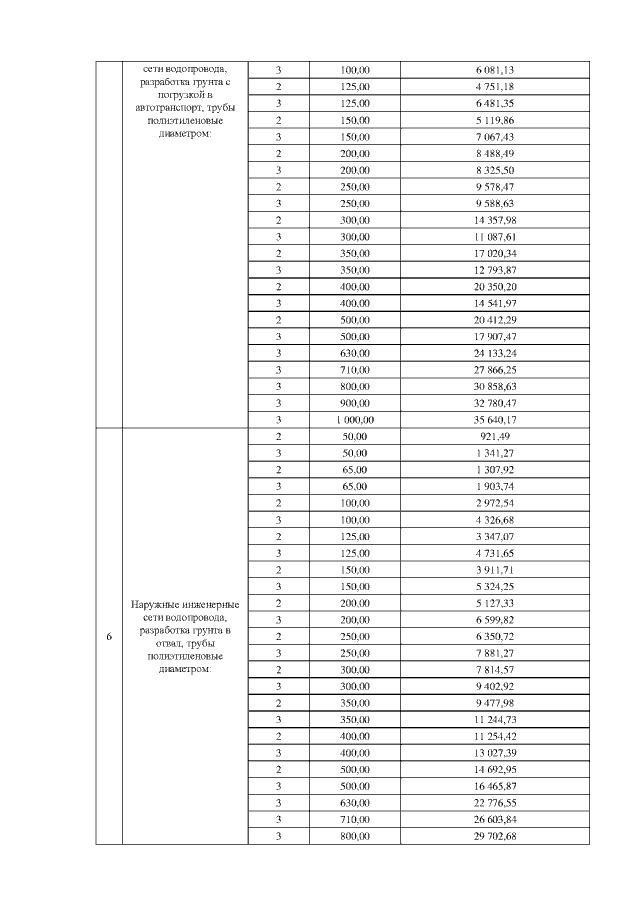
"Об установлении ставок тарифов на подключение (технологическое присоединение) к централизованным системам холодного и горячего водоснабжения ПАО "Якутскэнерго" на 2022 год"
(Зарегистрирован 20.12.2021 № RU140142022357)
"Об установлении ставок тарифов на подключение (технологическое присоединение) к централизованным системам холодного и горячего водоснабжения ПАО "Якутскэнерго" на 2022 год"
(Зарегистрирован 20.12.2021 № RU140142022357)
Номер опубликования: 1401202112220034
Дата опубликования:
22.12.2021
