Официальное опубликование правовых актов
ОФИЦИАЛЬНОЕ ОПУБЛИКОВАНИЕ
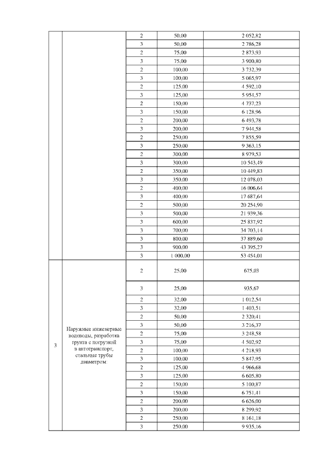
Постановление Государственного комитета по ценовой политике Республики Саха (Якутия) от 16.12.2021 № 292
"Об установлении ставок тарифов на подключение (технологическое присоединение) к централизованным системам холодного и горячего водоснабжения ПАО "Якутскэнерго" на 2022 год"
(Зарегистрирован 20.12.2021 № RU140142022357)
Номер опубликования: 1401202112220034
Дата опубликования: 22.12.2021
Страница №4 из 13:
Увеличить