Официальное опубликование правовых актов
ОФИЦИАЛЬНОЕ ОПУБЛИКОВАНИЕ
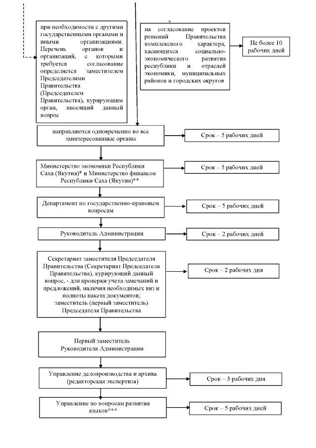
Постановление Правительства Республики Саха (Якутия) от 30.12.2022 № 843
"О внесении изменений в Регламент Правительства Республики Саха (Якутия), утвержденный постановлением Правительства Республики Саха (Якутия) от 3 ноября 2010 г. № 490"
Номер опубликования: 1400202301040007
Дата опубликования: 04.01.2023
Страница №5 из 6:
Увеличить