Официальное опубликование правовых актов
ОФИЦИАЛЬНОЕ ОПУБЛИКОВАНИЕ
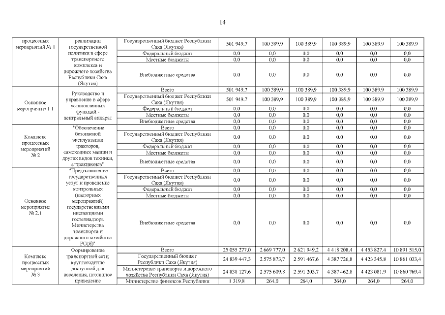
Постановление Правительства Республики Саха (Якутия) от 18.07.2022 № 473
"О государственной программе Республики Саха (Якутия) "Развитие транспортного комплекса Республики Саха (Якутия)"
Номер опубликования: 1400202207260002
Дата опубликования: 26.07.2022
Страница №63 из 129:
Увеличить