Официальное опубликование правовых актов
ОФИЦИАЛЬНОЕ ОПУБЛИКОВАНИЕ
Приказ Министерства по дорожному хозяйству, транспорту и связи Республики Карелия от 10.09.2021 № 189
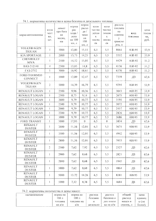
"Об утверждении нормативных затрат на обеспечение функций Министерства по дорожному хозяйству, транспорту и связи Республики Карелия и подведомственного казенного учреждения Республики Карелия "Управление автомобильных дорог Республики Карелия"
Номер опубликования: 1001202109140004
Дата опубликования: 14.09.2021
Страница №65 из 84:
Увеличить