Официальное опубликование правовых актов
ОФИЦИАЛЬНОЕ ОПУБЛИКОВАНИЕ
Приказ Государственного комитета Республики Карелия по ценам и тарифам от 28.12.2020 № 351
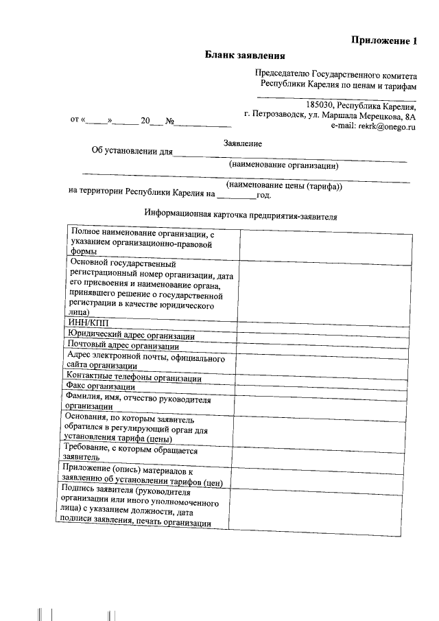
"Об утверждении Административных регламентов Государственного комитета Республики Карелия по ценам и тарифам предоставления государственной услуги по установлению подлежащих государственному регулированию цен (тарифов)"
Номер опубликования: 1001202012300004
Дата опубликования: 30.12.2020
Страница №189 из 190:
Увеличить