Официальное опубликование правовых актов
ОФИЦИАЛЬНОЕ ОПУБЛИКОВАНИЕ
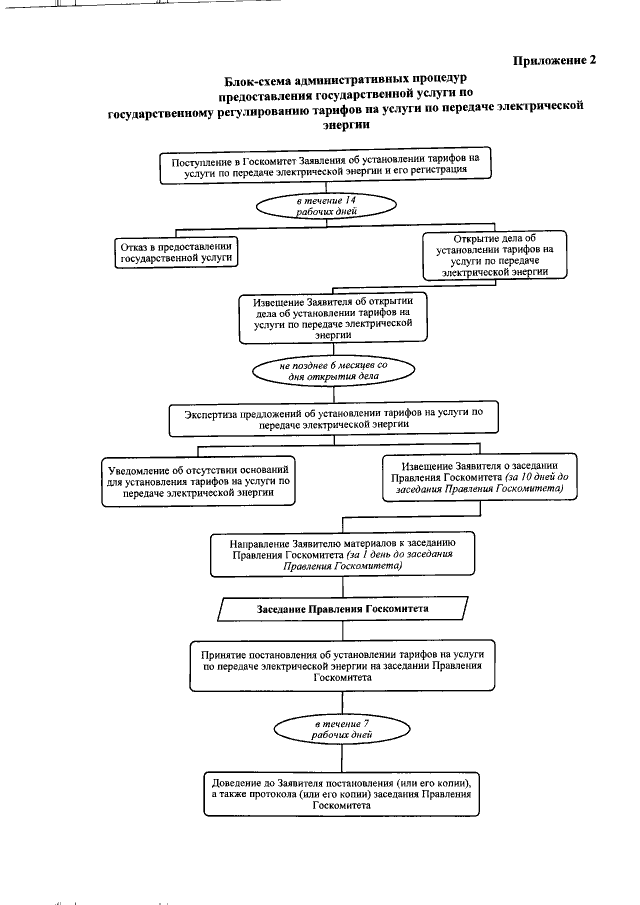
Приказ Государственного комитета Республики Карелия по ценам и тарифам от 28.12.2020 № 351
"Об утверждении Административных регламентов Государственного комитета Республики Карелия по ценам и тарифам предоставления государственной услуги по установлению подлежащих государственному регулированию цен (тарифов)"
Номер опубликования: 1001202012300004
Дата опубликования: 30.12.2020
Страница №17 из 190:
Увеличить