Официальное опубликование правовых актов
ОФИЦИАЛЬНОЕ ОПУБЛИКОВАНИЕ
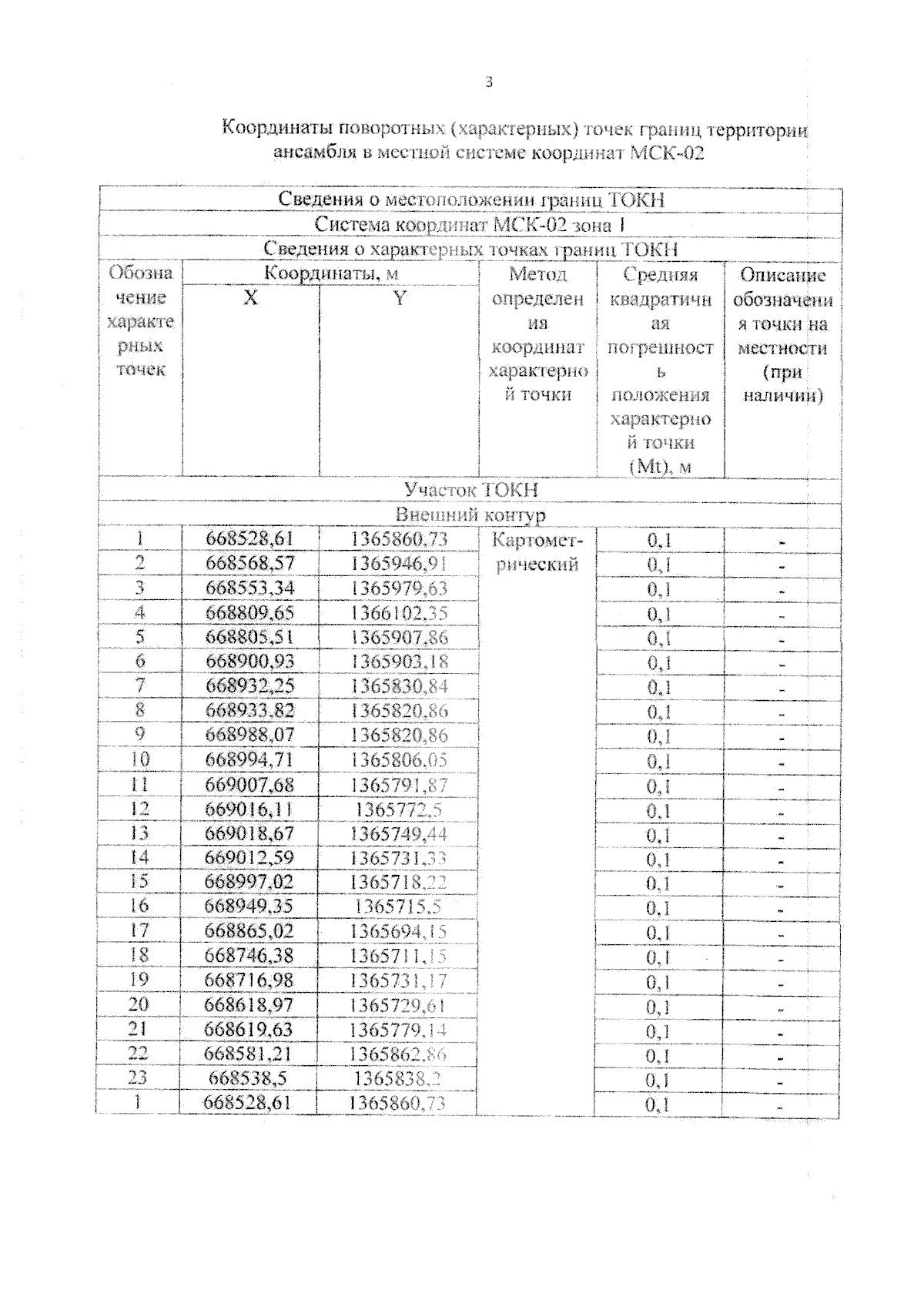
Приказ Управления по государственной охране объектов культурного наследия Республики Башкортостан от 09.10.2025 № 410
"Об утверждении границ и режима использования территории объекта культурного наследия регионального значения "Парк Победы", 1960–1970–е гг., расположенного по адресу: Республика Башкортостан, г. Уфа, Орджоникидзевский район, Парк Победы"
(Зарегистрирован 20.10.2025 № 24890)
Номер опубликования: 0201202510240001
Дата опубликования: 24.10.2025
Страница №4 из 7:
Увеличить