Официальное опубликование правовых актов
ОФИЦИАЛЬНОЕ ОПУБЛИКОВАНИЕ
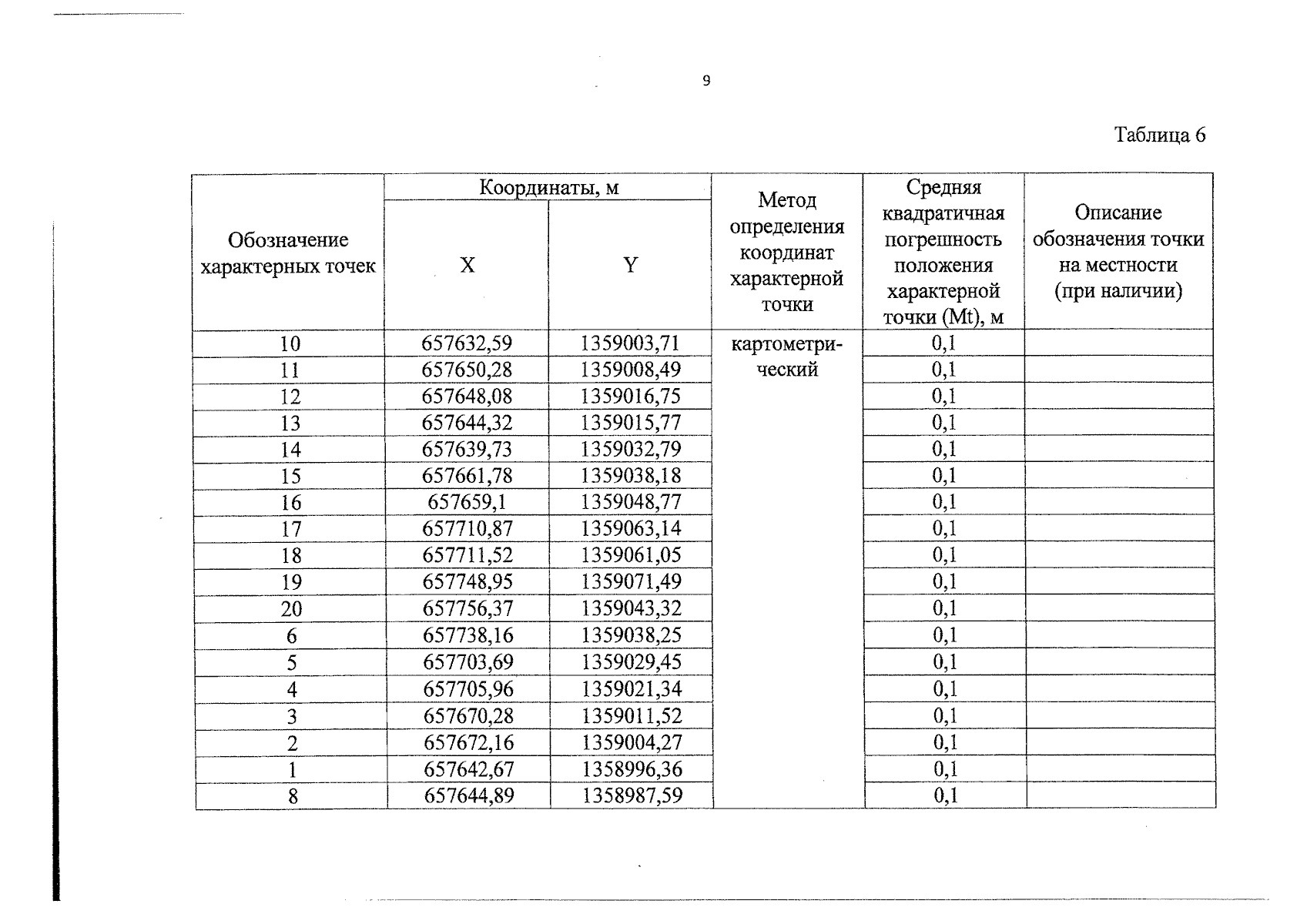
Постановление Правительства Республики Башкортостан от 06.11.2025 № 552
"Об утверждении границ зон охраны объекта культурного наследия регионального значения "Здание Башпотребсоюза", расположенного по адресу: Республика Башкортостан, г. Уфа, ул. Ленина, 26, режимов использования земель и требований к градостроительным регламентам в границах территории данных зон"
Номер опубликования: 0200202511130007
Дата опубликования: 13.11.2025
Страница №11 из 21:
Увеличить