Официальное опубликование правовых актов
ОФИЦИАЛЬНОЕ ОПУБЛИКОВАНИЕ
Постановление Правительства Республики Башкортостан от 17.10.2025 № 472
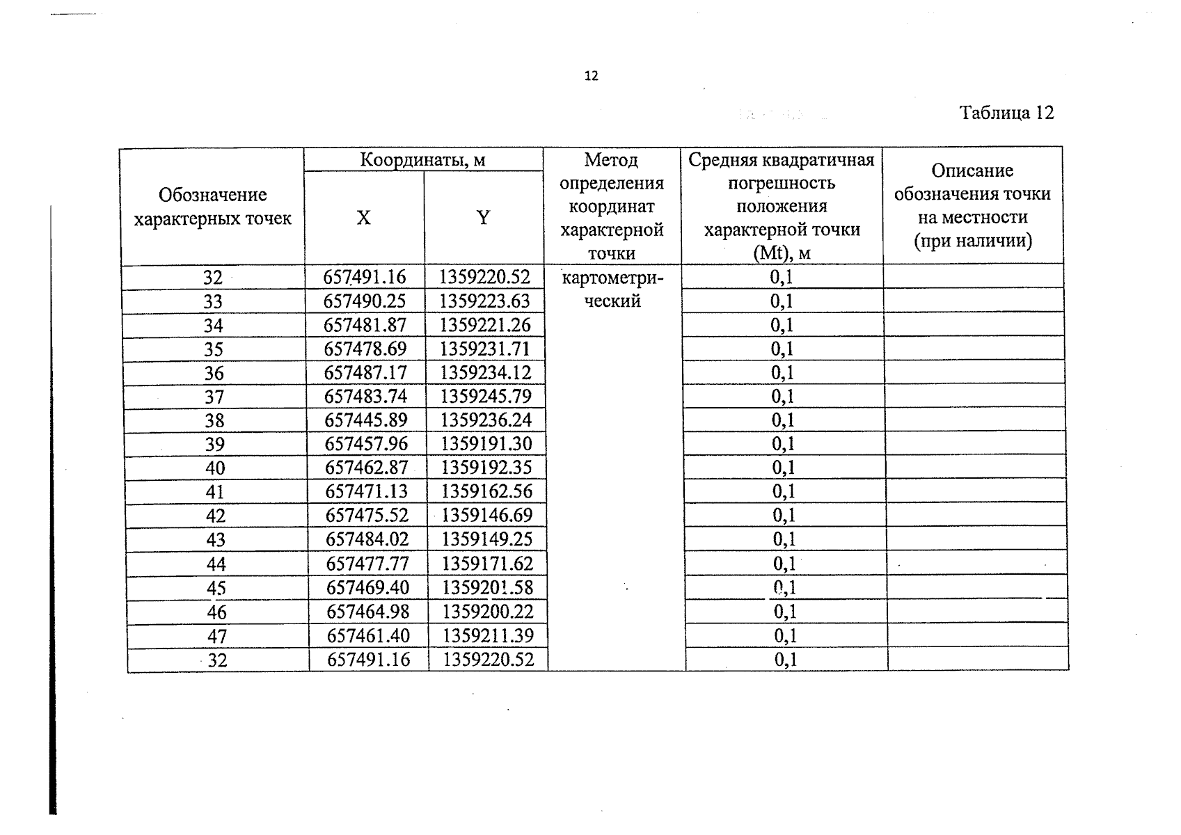
"Об утверждении границ объединенной зоны охраны объектов культурного наследия (памятников истории и культуры) народов Российской Федерации регионального значения, расположенных в Кировском районе г. Уфы Республики Башкортостан, режимов использования земель и требований к градостроительным регламентам в границах территории зоны и признании утратившими силу некоторых постановлений Правительства Республики Башкортостан"
Номер опубликования: 0200202510220001
Дата опубликования: 22.10.2025
Страница №16 из 269:
Увеличить