Официальное опубликование правовых актов
ОФИЦИАЛЬНОЕ ОПУБЛИКОВАНИЕ
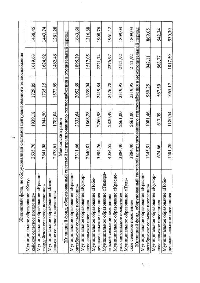
Постановление Кабинета Министров Республики Адыгея от 09.04.2021 № 64
"О республиканском стандарте стоимости жилищно-коммунальных услуг на 2021 год"
Номер опубликования: 0100202104140005
Дата опубликования: 14.04.2021
Страница №14 из 22:
Увеличить