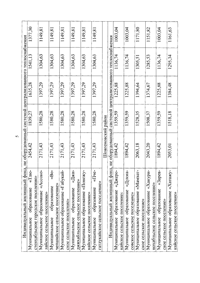
Постановление Кабинета Министров Республики Адыгея от 09.04.2021 № 64
"О республиканском стандарте стоимости жилищно-коммунальных услуг на 2021 год"
"О республиканском стандарте стоимости жилищно-коммунальных услуг на 2021 год"
Номер опубликования: 0100202104140005
Дата опубликования:
14.04.2021
