Официальное опубликование правовых актов
ОФИЦИАЛЬНОЕ ОПУБЛИКОВАНИЕ
Постановление Правительства Севастополя от 25.12.2025 № 630-ПП
"О внесении изменений в постановление Правительства Севастополя от 23.12.2021 № 694-ПП "Об утверждении государственной программы города Севастополя "Развитие гражданского общесгва и создание условий для обеспечения общественного согласия в городе Севастополе"
Номер опубликования: 9200202512300035
Дата опубликования: 30.12.2025
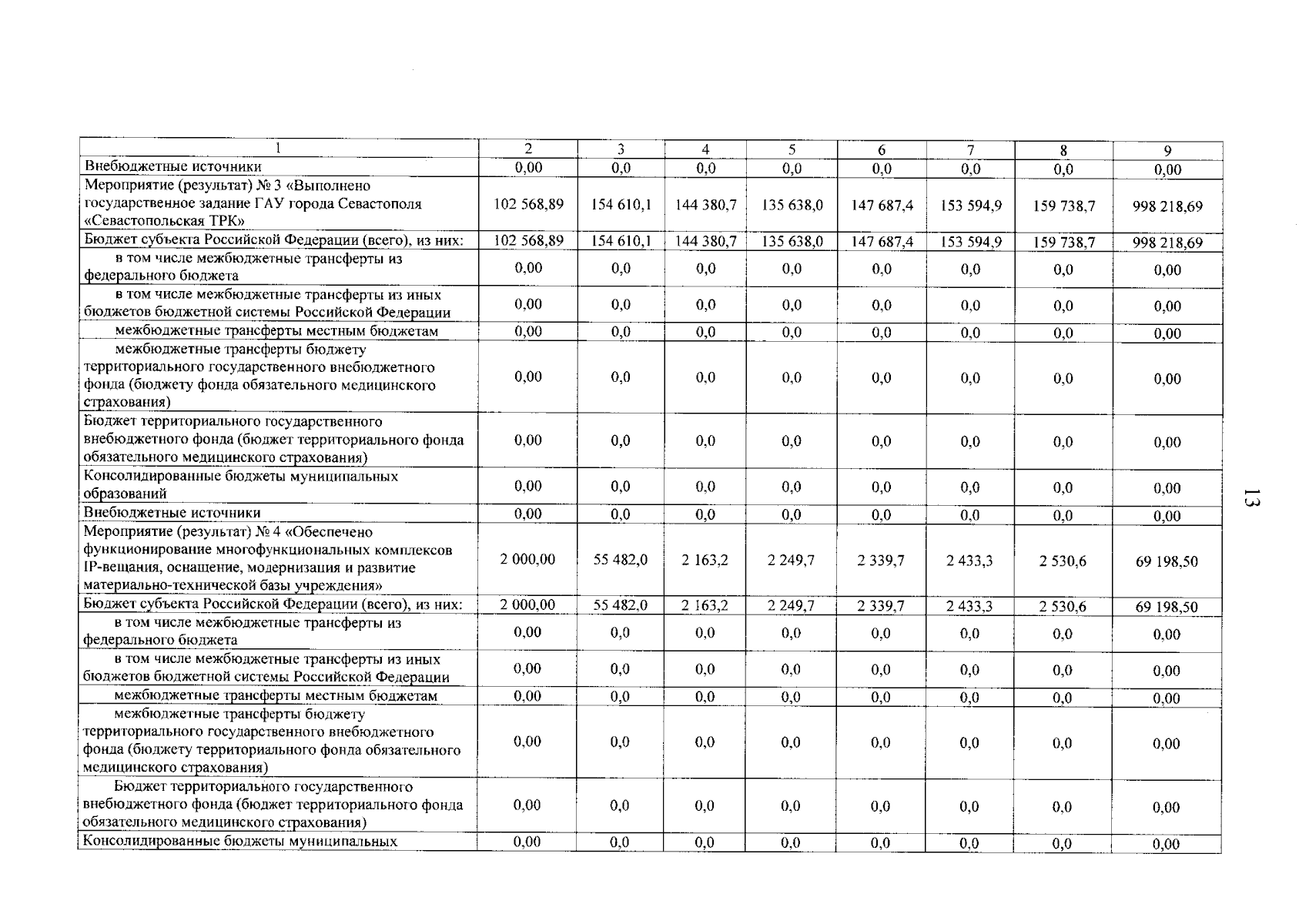
Страница №15 из 31:
Увеличить