Официальное опубликование правовых актов
ОФИЦИАЛЬНОЕ ОПУБЛИКОВАНИЕ
Закон города Севастополя от 19.11.2025 № 877-ЗС
"О внесении изменений в Закон города Севастополя от 28 ноября 2024 года № 827-ЗС "О бюджете города Севастополя на 2025 год и плановый период 2026 и 2027 годов"
Номер опубликования: 9200202511190006
Дата опубликования: 19.11.2025
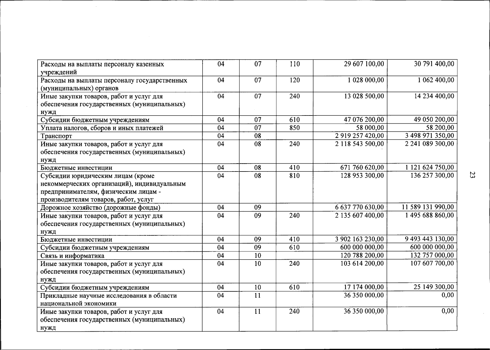
Страница №23 из 874:
Увеличить