Официальное опубликование правовых актов
ОФИЦИАЛЬНОЕ ОПУБЛИКОВАНИЕ
Постановление Правительства Севастополя от 29.08.2025 № 382-ПП
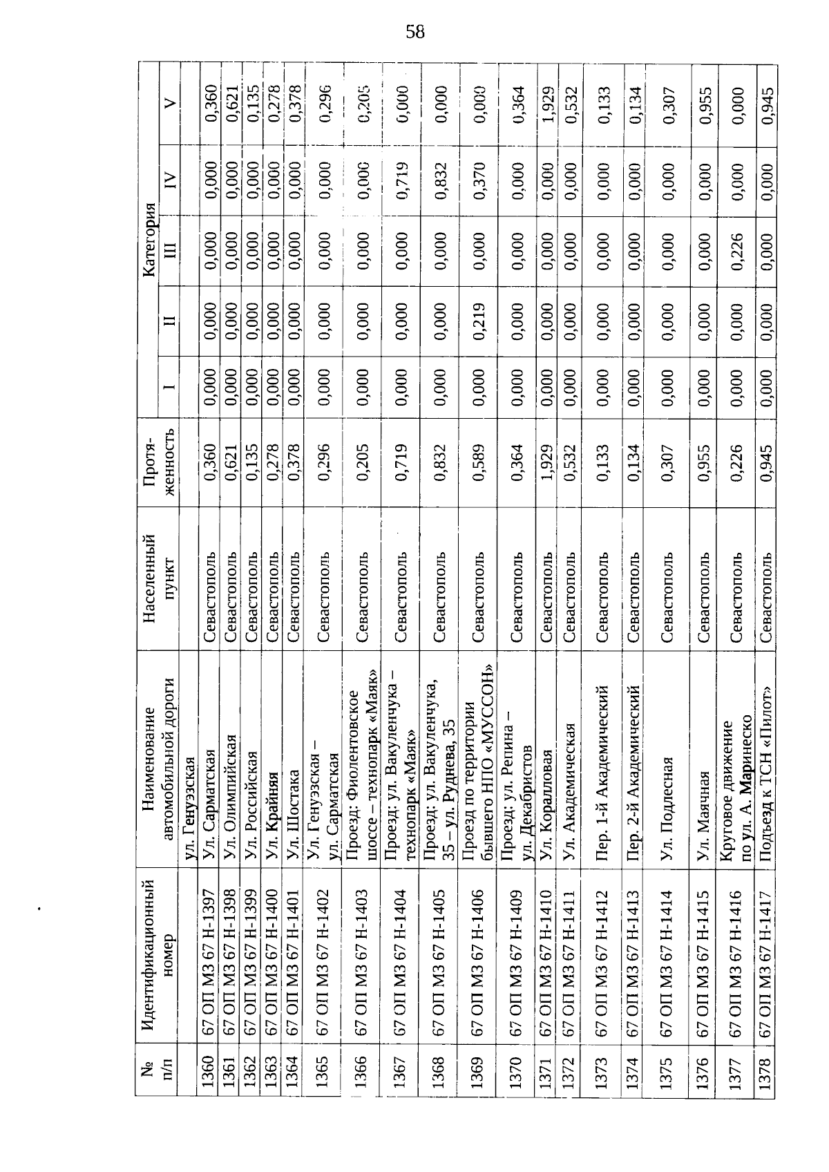
"О внесении изменений в постановление Правительства Севастополя от 30.04.2015 № 347-ПП "Об утверждении критериев отнесения автомобильных дорог общего пользования к автомобильным дорогам общего пользования регионального или межмуниципального значения и перечня автомобильных дорог общего пользования регионального или межмуниципального значения, находящихся в государственной собственности города Севастополя"
Номер опубликования: 9200202509040012
Дата опубликования: 04.09.2025
Страница №60 из 67:
Увеличить