Официальное опубликование правовых актов
ОФИЦИАЛЬНОЕ ОПУБЛИКОВАНИЕ
Постановление Правительства Севастополя от 10.07.2025 № 309-ПП
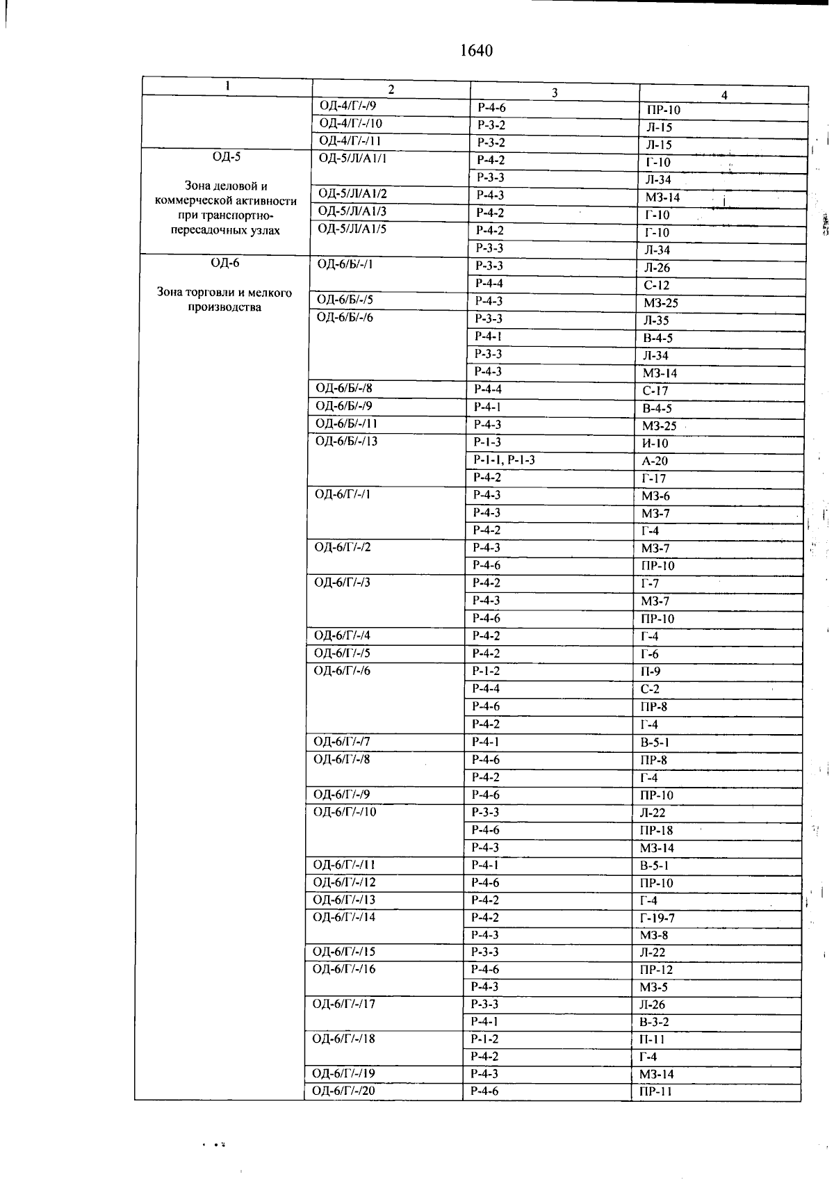
"О внесении изменений в постановление Правительства Севастополя от 29.12.2022 № 730-ПП "Об утверждении Правил землепользования и застройки города федерального значения Севастополя применительно к части территории города в границах внутригородских муниципальных образований: Ленинского, Гагаринского, Нахимовского, Балаклавского муниципальных округов и города Инкермана"
Номер опубликования: 9200202507180021
Дата опубликования: 18.07.2025
Страница №1642 из 1703:
Увеличить