Официальное опубликование правовых актов
ОФИЦИАЛЬНОЕ ОПУБЛИКОВАНИЕ
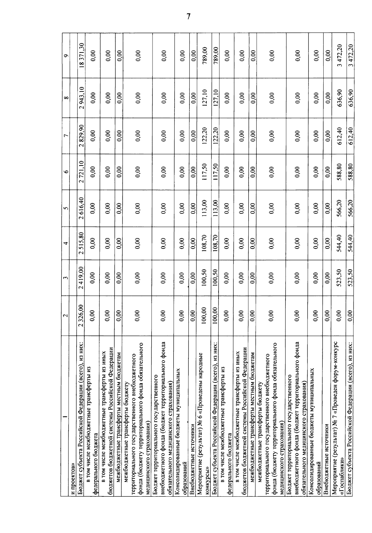
Постановление Правительства Севастополя от 10.07.2025 № 291-ПП
"О внесении изменений в постановление Правительства Севастополя от 23.12.2021 № 694-ПП "Об утверждении государственной программы города Севастополя "Развитие гражданского общества и создание условий для обеспечения общественного согласия в городе Севастополе"
Номер опубликования: 9200202507180008
Дата опубликования: 18.07.2025
Страница №8 из 23:
Увеличить