Официальное опубликование правовых актов
ОФИЦИАЛЬНОЕ ОПУБЛИКОВАНИЕ
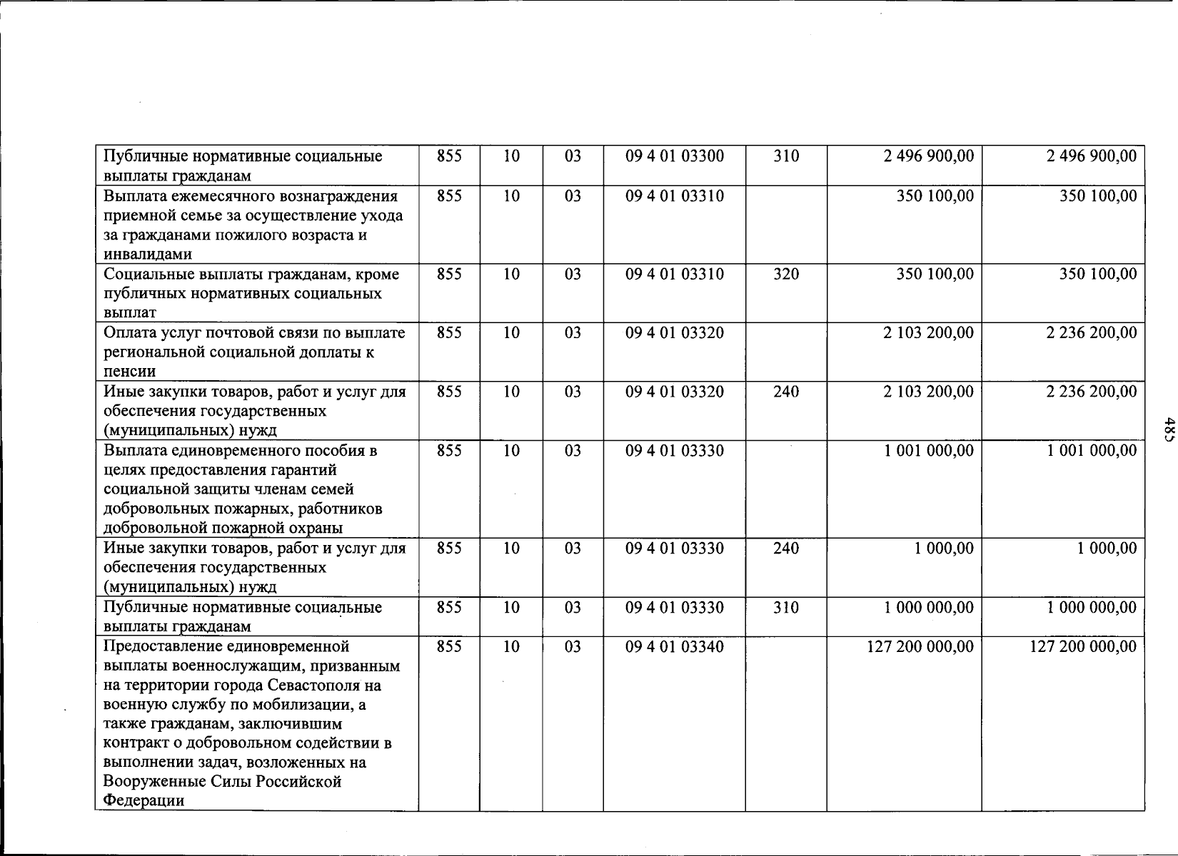
Закон города Севастополя от 02.07.2025 № 863-ЗС
"О внесении изменений в Закон города Севастополя от 28 ноября 2024 года № 827-ЗС "О бюджете города Севастополя на 2025 год и плановый период 2026 и 2027 годов"
Номер опубликования: 9200202507020017
Дата опубликования: 02.07.2025
Страница №485 из 823:
Увеличить