Официальное опубликование правовых актов
ОФИЦИАЛЬНОЕ ОПУБЛИКОВАНИЕ
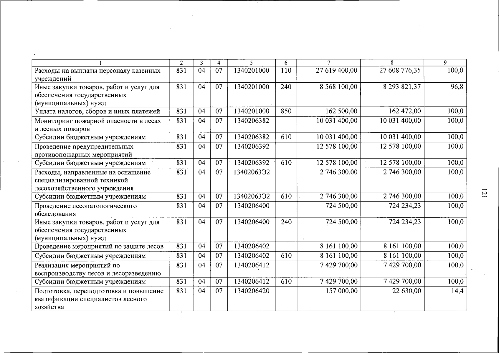
Закон города Севастополя от 17.06.2025 № 854-ЗС
"Об исполнении бюджета города Севастополя за 2024 год"
Номер опубликования: 9200202506170004
Дата опубликования: 17.06.2025
Страница №151 из 275:
Увеличить