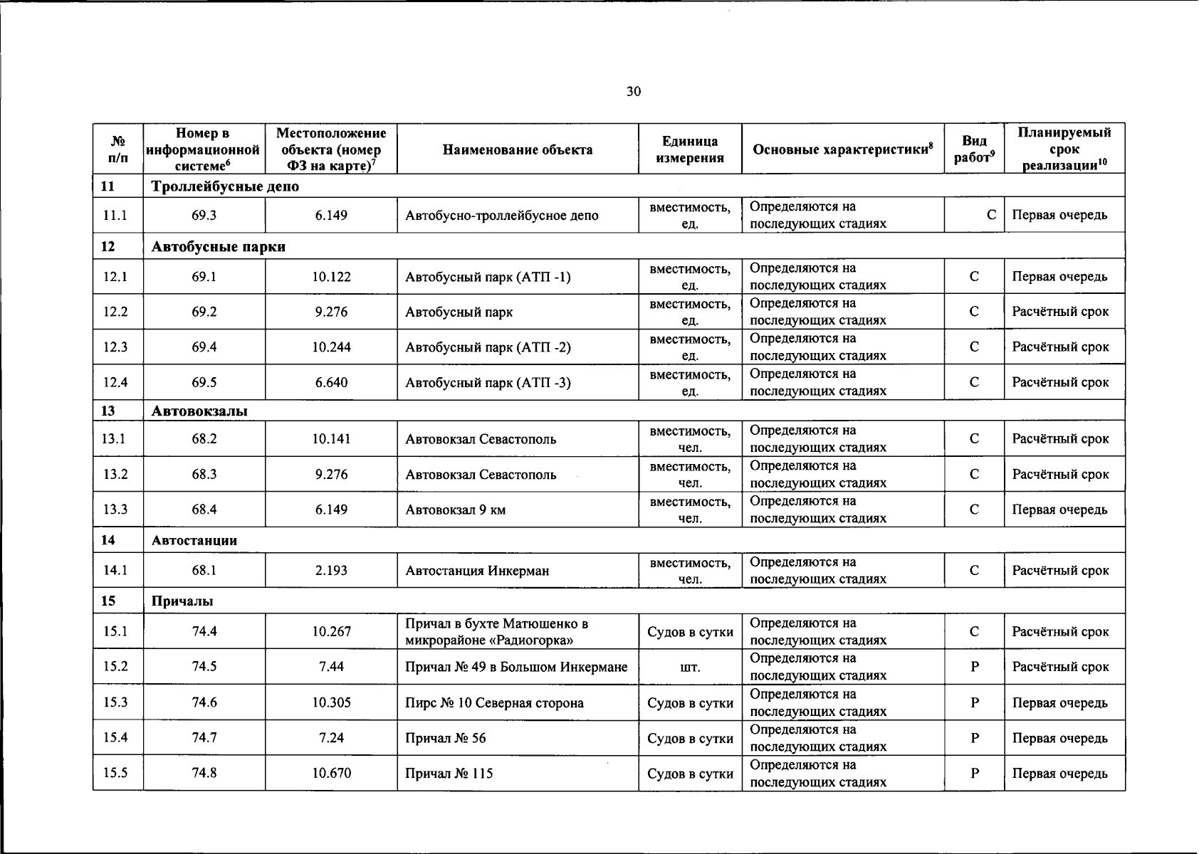
Официальное опубликование правовых актов
ОФИЦИАЛЬНОЕ ОПУБЛИКОВАНИЕ
Закон города Севастополя от 19.02.2025 № 835-ЗС
"О Генеральном плане города Севастополя"
Номер опубликования: 9200202502200008
Дата опубликования: 20.02.2025
Страница №32 из 402:
Увеличить