Официальное опубликование правовых актов
ОФИЦИАЛЬНОЕ ОПУБЛИКОВАНИЕ
Постановление Правительства Севастополя от 06.02.2025 № 50-ПП
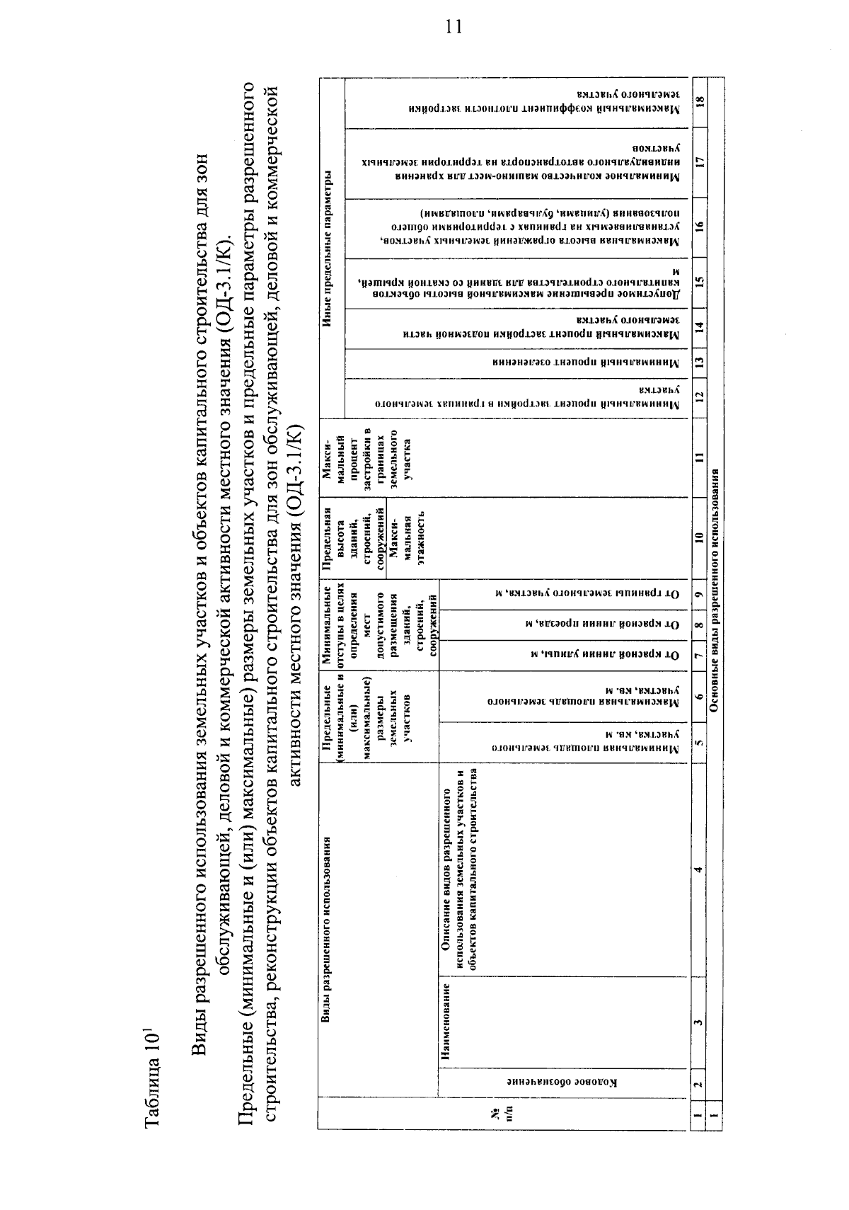
"О внесении изменений в постановление Правительства Севастополя от 02.12.2022 № 621-ПП "Об утверждении Правил землепользования и застройки города федерального значения Севастополя применительно к части территории города в границах Андреевского, Качинского, Верхнесадовского, Терновского, Орлиновского внутригородских муниципальных образований"
Номер опубликования: 9200202502120001
Дата опубликования: 12.02.2025
Страница №12 из 56:
Увеличить