Официальное опубликование правовых актов
ОФИЦИАЛЬНОЕ ОПУБЛИКОВАНИЕ
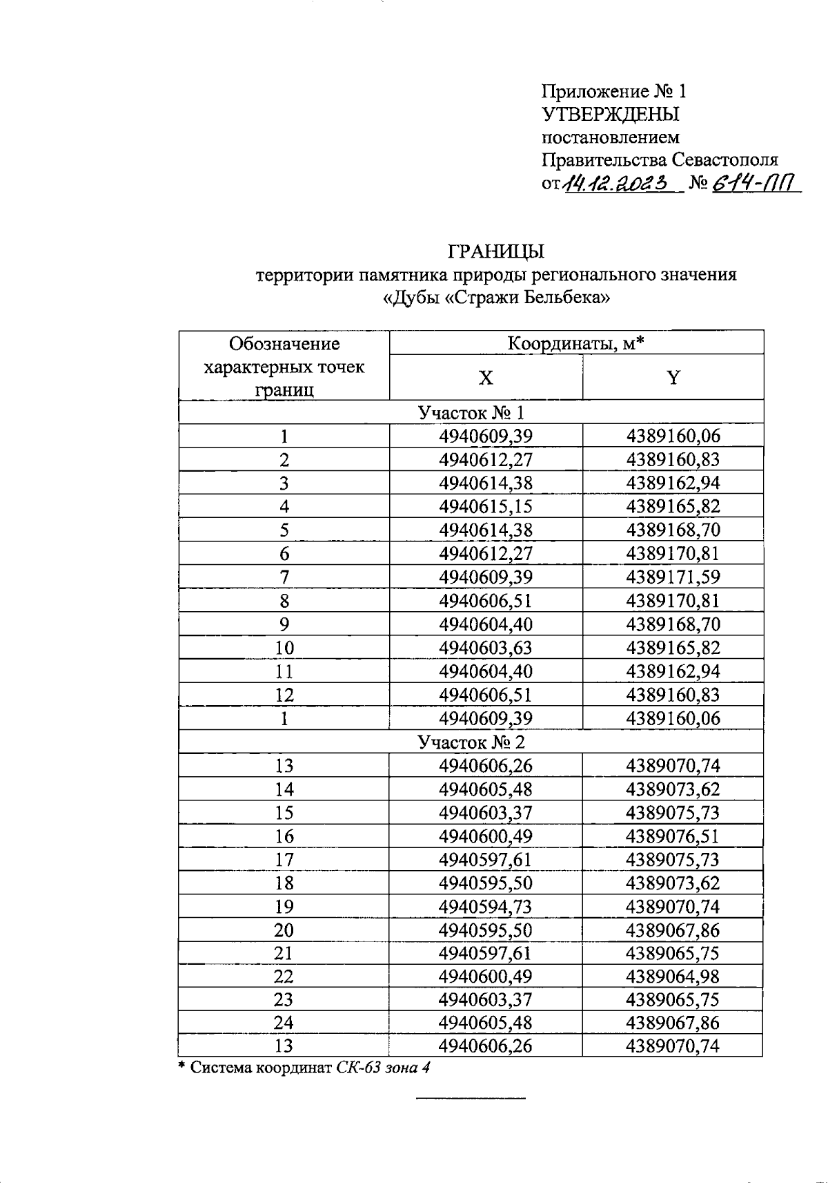
Постановление Правительства Севастополя от 14.12.2023 № 614-ПП
"Об объявлении дубов черешчатых памятником природы регионального значения "Дубы "Стражи Бельбека"
Номер опубликования: 9200202312220022
Дата опубликования: 22.12.2023
Страница №3 из 9:
Увеличить