Официальное опубликование правовых актов
ОФИЦИАЛЬНОЕ ОПУБЛИКОВАНИЕ
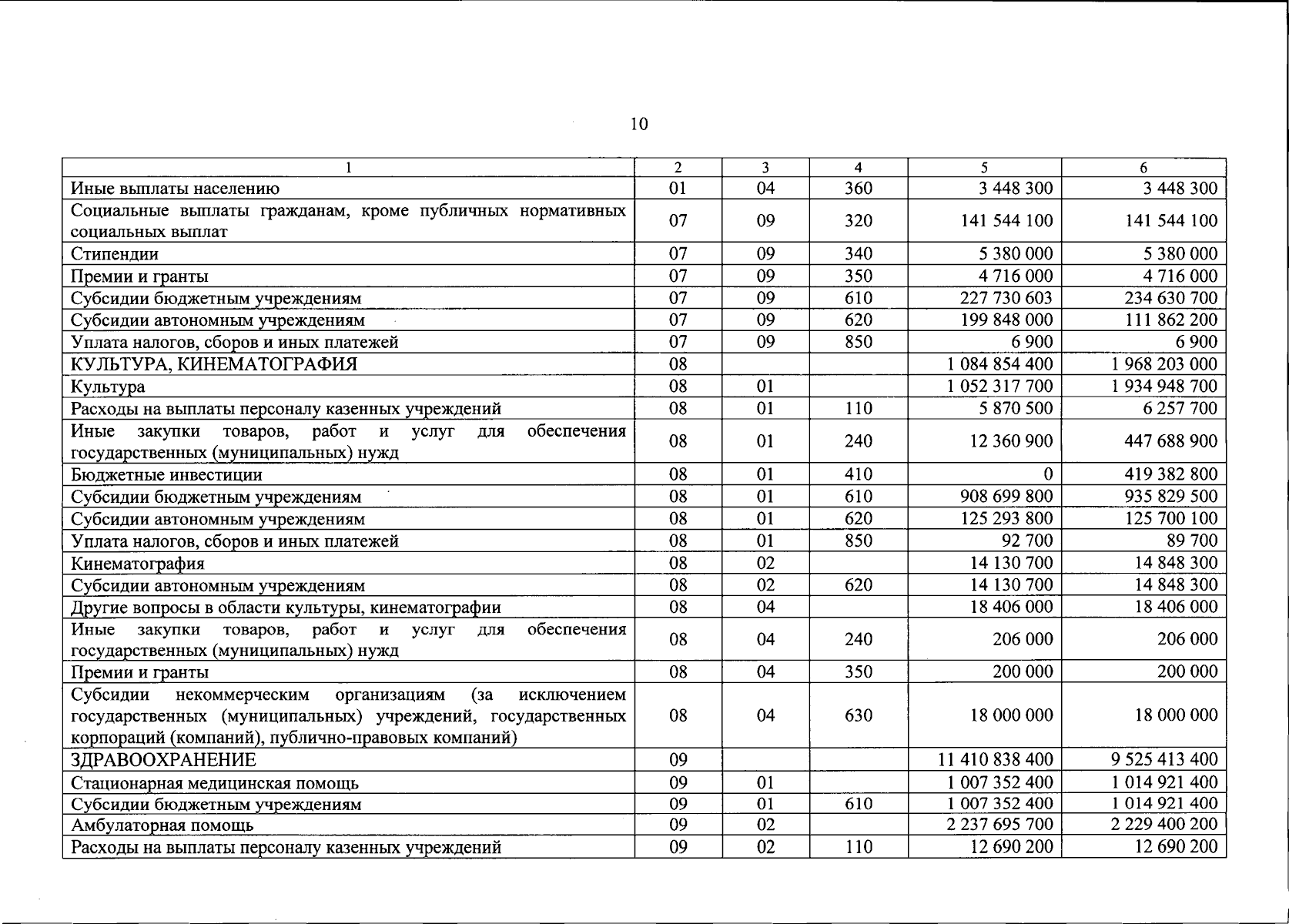
Закон города Севастополя от 12.12.2023 № 790-ЗС
"О бюджете города Севастополя на 2024 годи плановый период 2025 и 2026 годов"
Номер опубликования: 9200202312120001
Дата опубликования: 12.12.2023
Страница №48 из 657:
Увеличить