Официальное опубликование правовых актов
ОФИЦИАЛЬНОЕ ОПУБЛИКОВАНИЕ
Постановление Правительства Севастополя от 29.06.2023 № 320-ПП
"Об утверждении границ объединенной зоны охраны, режимов использования земель и требований к градостроительным регламентам в границах территории объединенной зоны охраны объектов культурного наследия федерального и регионального значения, расположенных в центральной части города Севастополя вдоль улиц Адмирала Октябрьского, Большой Морской, Василия Кучера, Воронина, Ленина, Луначарского, Одесской, Пушкина, Советской, Суворова, Терещенко, пл. Нахимова, пл. Суворова, пр-та Нахимова"
Номер опубликования: 9200202307060018
Дата опубликования: 06.07.2023
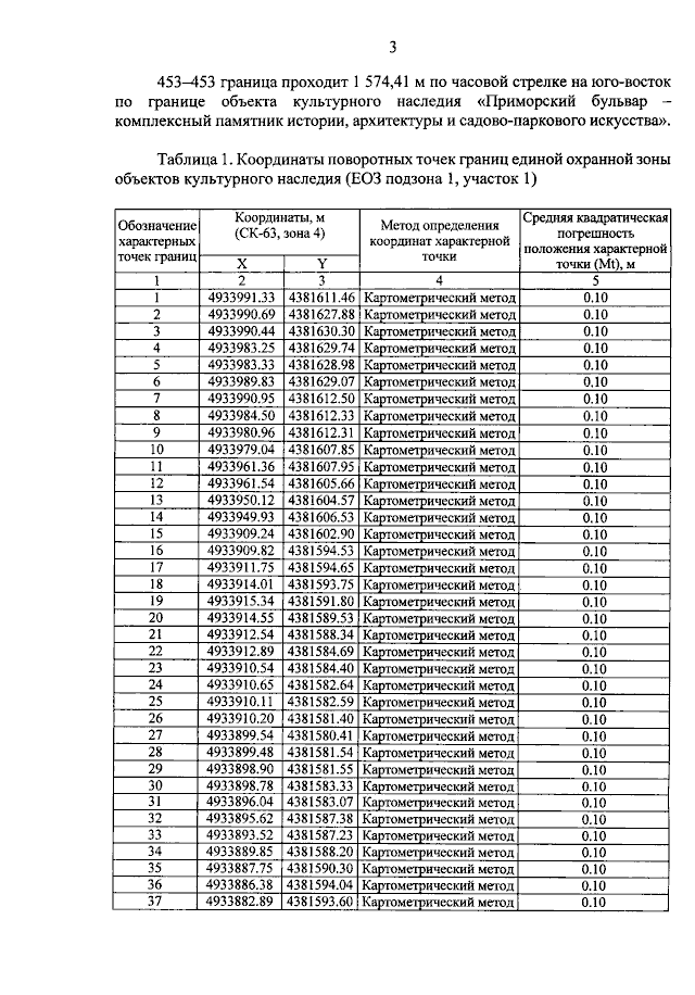
Страница №14 из 162:
Увеличить