Официальное опубликование правовых актов
ОФИЦИАЛЬНОЕ ОПУБЛИКОВАНИЕ
Постановление Правительства Севастополя от 02.03.2023 № 107-ПП
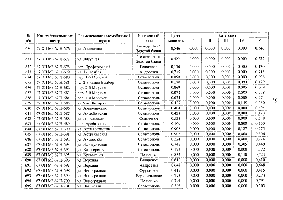
"О внесении изменений в постановление Правительства Севастополя от 30.04.2015 № 347-ПП "Об утверждении критериев отнесения автомобильных дорог общего пользования к автомобильным дорогам общего пользования регионального или межмуниципального значения и перечня автомобильных дорог общего пользования регионального или межмуниципального значения, находящихся в государственной собственности города Севастополя"
Номер опубликования: 9200202303090001
Дата опубликования: 09.03.2023
Страница №30 из 63:
Увеличить