Официальное опубликование правовых актов
ОФИЦИАЛЬНОЕ ОПУБЛИКОВАНИЕ
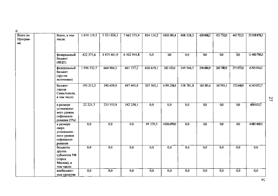
Постановление Правительства Севастополя от 26.12.2022 № 702-ПП
"О внесении изменений в постановление Правительства Севастополя от 23.12.2021 № 697-ПП "Об утверждении государственной программы города Севастополя "Развитие здравоохранения в городе Севастополе"
Номер опубликования: 9200202212290045
Дата опубликования: 29.12.2022
Страница №28 из 37:
Увеличить