Официальное опубликование правовых актов
ОФИЦИАЛЬНОЕ ОПУБЛИКОВАНИЕ
Постановление Правительства Севастополя от 12.10.2022 № 503-ПП
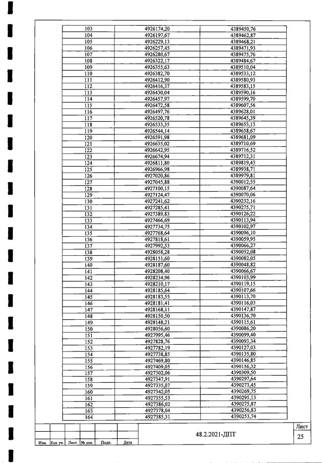
"О внесении изменений в постановление Правительства Севастополя от 01.09.2016 № 827-ПП "Об утверждении градостроительной документации "Проект планировки и проект межевания территории в границах строительства кольцевого газопровода высокого давления от ГРС-1, через Балаклаву, Фиолент к бухте Казачья г. Севастополь"
Номер опубликования: 9200202210210003
Дата опубликования: 21.10.2022
Страница №208 из 572:
Увеличить