Официальное опубликование правовых актов
ОФИЦИАЛЬНОЕ ОПУБЛИКОВАНИЕ
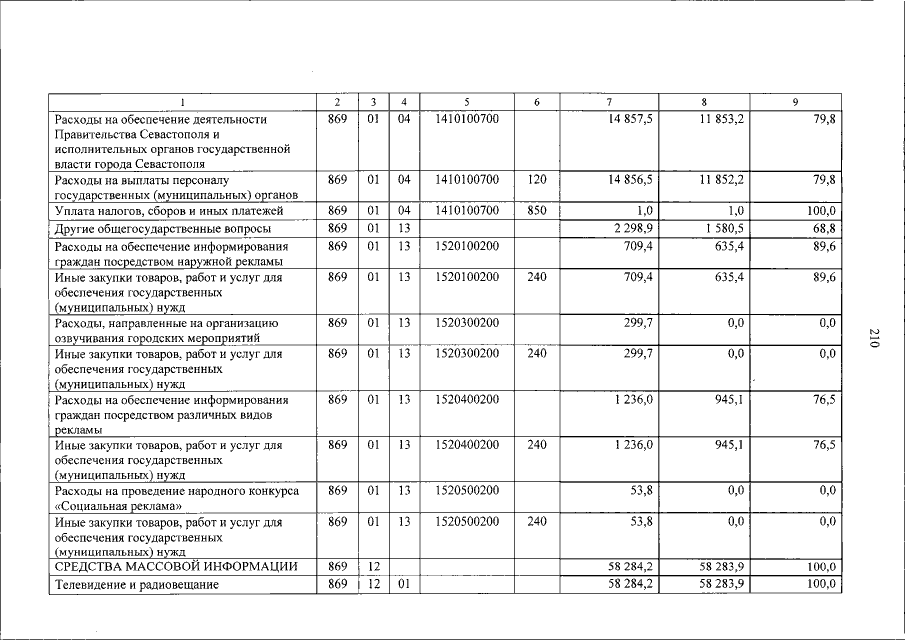
Закон города Севастополя от 20.07.2022 № 702-ЗС
"Об исполнении бюджета города Севастополя за 2021 год"
Номер опубликования: 9200202207210002
Дата опубликования: 21.07.2022
Страница №238 из 239:
Увеличить