Официальное опубликование правовых актов
ОФИЦИАЛЬНОЕ ОПУБЛИКОВАНИЕ
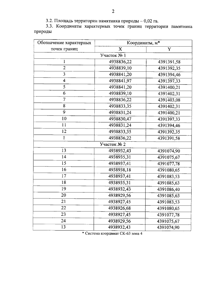
Постановление Правительства Севастополя от 07.07.2022 № 291-ПП
"Об объявлении фисташек туполистных памятником природы регионального значения "Фисташки у села Камышлы"
Номер опубликования: 9200202207120017
Дата опубликования: 12.07.2022
Страница №5 из 10:
Увеличить