Официальное опубликование правовых актов
ОФИЦИАЛЬНОЕ ОПУБЛИКОВАНИЕ
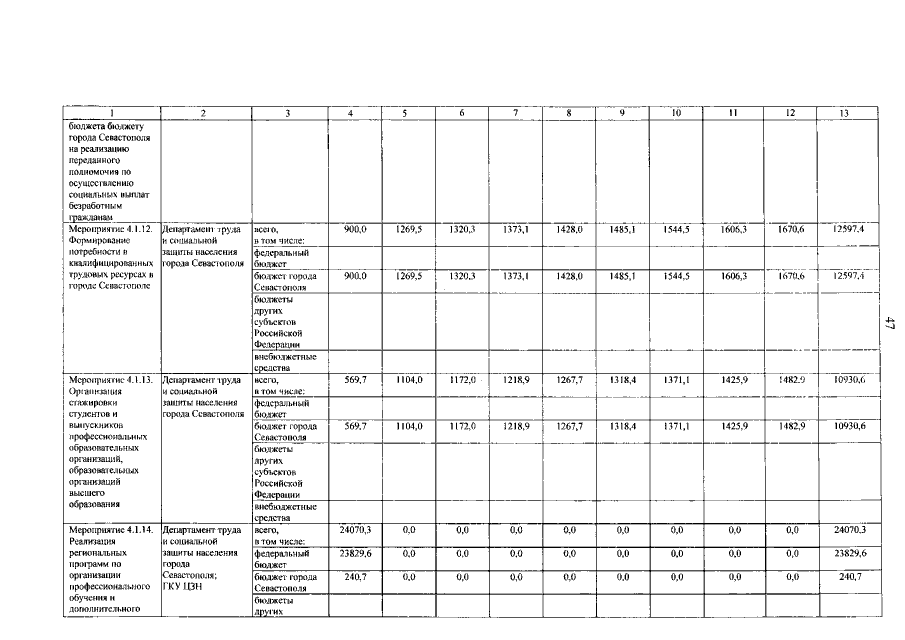
Постановление Правительства Севастополя от 31.05.2022 № 239-ПП
"О внесении изменений в постановление Правительства Севастополя от 20.12.2021 № 675-ПП "Об утверждении государственной программы города Севастополя "Социальная защита, охрана труда и содействие занятости населения в городе Севастополе"
Номер опубликования: 9200202206070024
Дата опубликования: 07.06.2022
Страница №48 из 83:
Увеличить