Официальное опубликование правовых актов
ОФИЦИАЛЬНОЕ ОПУБЛИКОВАНИЕ
Постановление Правительства Севастополя от 03.03.2022 № 70-ПП
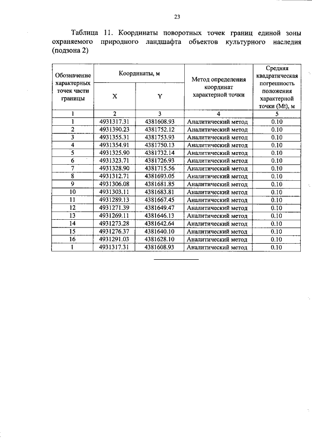
"Об утверждении границ объединенной зоны охраны, режимов использования земель и требований к градостроительным регламентам в границах территории объединенной зоны охраны объектов культурного наследия федерального значения "Ансамбль мемориального комплекса памятников обороны города Севастополя в 1854-1855 годах "Исторический бульвар", 1904-1905 годы, военный инженер О.И. Энберг (г. Севастополь, Исторический бульвар), регионального значения "Казармы 50-го Белостокского пехотного полка 13-й пехотной дивизии, кон. XIX – сер. ХХ вв." (г. Севастополь, ул. Николая Музыки, д. 1, 3), "Базовый матросский клуб" (г. Севастополь, пл. Ушакова, д. 1), "Дом Корнеева" (г. Севастополь, ул. 4-я Бастионная, д. 11)"
Номер опубликования: 9200202203090007
Дата опубликования: 09.03.2022
Страница №26 из 57:
Увеличить