Официальное опубликование правовых актов
ОФИЦИАЛЬНОЕ ОПУБЛИКОВАНИЕ
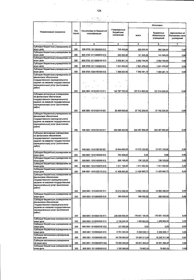
Постановление Правительства Севастополя от 17.11.2021 № 577-ПП
"Об утверждении отчета об исполнении бюджета города Севастополя за девять месяцев 2021 года и отчета об использовании бюджетных ассигнований резервного фонда Правительства Севастополя за девять месяцев 2021 года"
Номер опубликования: 9200202111250002
Дата опубликования: 25.11.2021
Страница №227 из 624:
Увеличить