Официальное опубликование правовых актов
ОФИЦИАЛЬНОЕ ОПУБЛИКОВАНИЕ
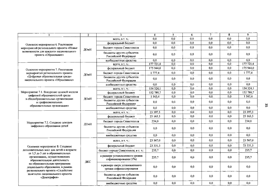
Постановление Правительства Севастополя от 16.04.2021 № 163-ПП
"О внесении изменений в постановление Правительства Севастополя от 10.11.2016 № 1087-ПП "Об утверждении государственной программы города Севастополя "Развитие образования в городе Севастополе"
Номер опубликования: 9200202104220005
Дата опубликования: 22.04.2021
Страница №37 из 53:
Увеличить