Официальное опубликование правовых актов
ОФИЦИАЛЬНОЕ ОПУБЛИКОВАНИЕ
Постановление Правительства Севастополя от 25.09.2020 № 500-ПП
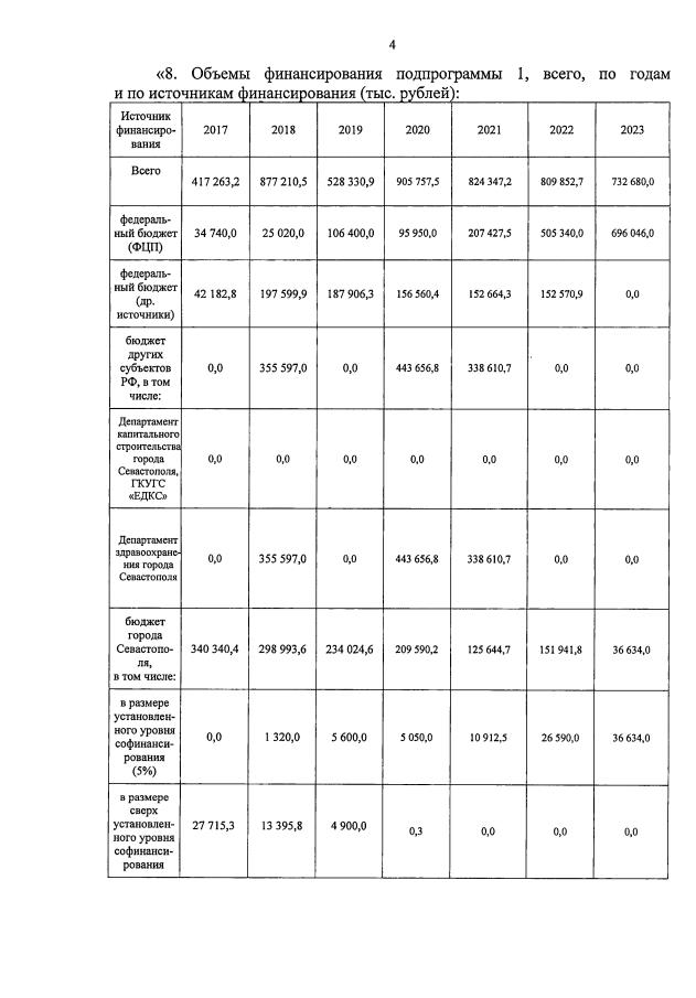
"О внесении изменений в постановление Правительства Севастополя от 23.11.2016 № 1115-ПП "Об утверждении государственной программы города Севастополя "Развитие здравоохранения в городе Севастополе"
Номер опубликования: 9200202010010003
Дата опубликования: 01.10.2020
Страница №5 из 99:
Увеличить