Официальное опубликование правовых актов
ОФИЦИАЛЬНОЕ ОПУБЛИКОВАНИЕ
Постановление Правительства Севастополя от 26.08.2020 № 455-ПП
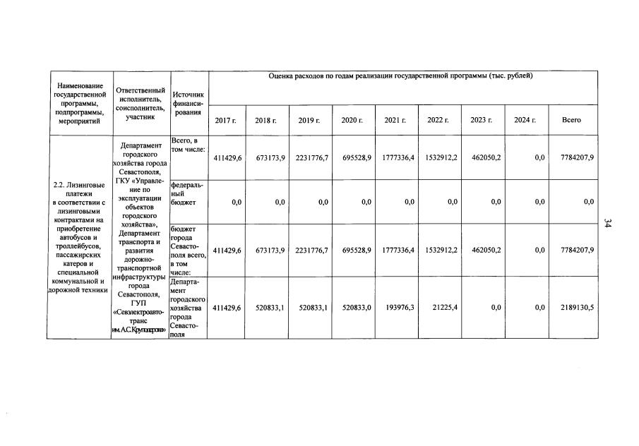
"О внесении изменений в постановление Правительства Севастополя от 17.11.2016 № 1090-ПП "Об утверждении государственной программы города Севастополя "Развитие транспорта и дорожно-транспортной инфраструктуры города Севастополя"
Номер опубликования: 9200202009020002
Дата опубликования: 02.09.2020
Страница №35 из 147:
Увеличить