Официальное опубликование правовых актов
ОФИЦИАЛЬНОЕ ОПУБЛИКОВАНИЕ
Постановление Правительства Севастополя от 18.06.2020 № 285-ПП
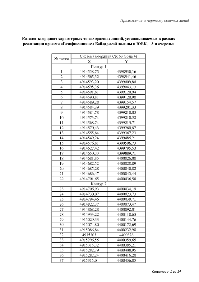
"О внесении изменений в постановление Правительства Севастополя от 22.06.2017 № 463-ПП "Об утверждении документации проекта планировки и проекта межевания линейного объекта "Газификация сел Байдарской долины и ЮБК, 3-я очередь, в том числе проектно-изыскательские работы"
Номер опубликования: 9200202006250009
Дата опубликования: 25.06.2020
Страница №35 из 48:
Увеличить