Официальное опубликование правовых актов
ОФИЦИАЛЬНОЕ ОПУБЛИКОВАНИЕ
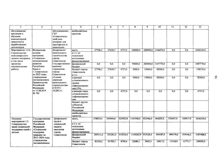
Постановление Правительства Севастополя от 30.04.2020 № 176-ПП
"О внесении изменений в постановление Правительства Севастополя от 03.11.2016 № 1027-ПП "Об утверждении государственной программы города Севастополя "Социальная защита, охрана труда и содействие занятости населения в городе Севастополе"
Номер опубликования: 9200202005060015
Дата опубликования: 06.05.2020
Страница №92 из 116:
Увеличить