Официальное опубликование правовых актов
ОФИЦИАЛЬНОЕ ОПУБЛИКОВАНИЕ
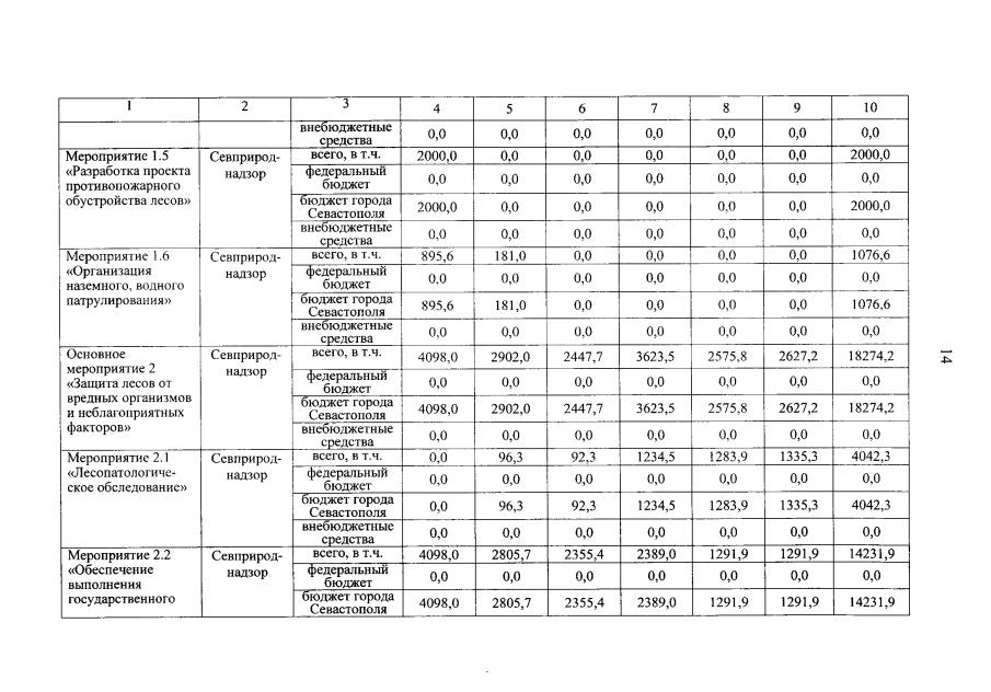
Постановление Правительства Севастополя от 03.04.2020 № 114-ПП
"О внесении изменений в постановление Правительства Севастополя от 17.11.2016 № 1091-ПП "Об утверждении государственной программы города Севастополя "Экология и охрана окружающей среды города Севастополя"
Номер опубликования: 9200202004080010
Дата опубликования: 08.04.2020
Страница №22 из 31:
Увеличить