Официальное опубликование правовых актов
ОФИЦИАЛЬНОЕ ОПУБЛИКОВАНИЕ
Постановление Правительства Севастополя от 09.08.2019 № 499-ПП
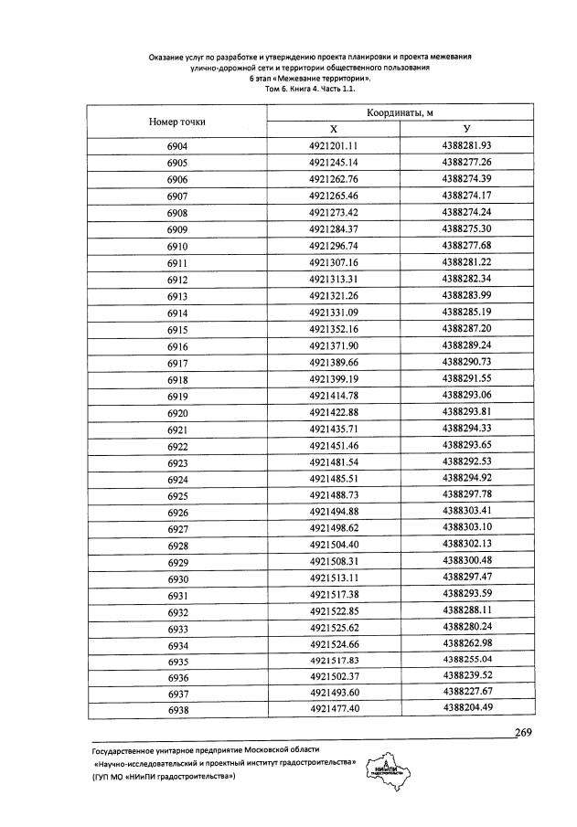
"О внесении изменений в постановление Правительства Севастополя от 23.04.2018 № 248-ПП "Об утверждении проекта планировки территории градостроительной документации "Проект планировки и проект межевания территории улично-дорожной сети и территории общественного пользования"
Номер опубликования: 9200201908150003
Дата опубликования: 15.08.2019
Страница №337 из 1576:
Увеличить