Официальное опубликование правовых актов
ОФИЦИАЛЬНОЕ ОПУБЛИКОВАНИЕ
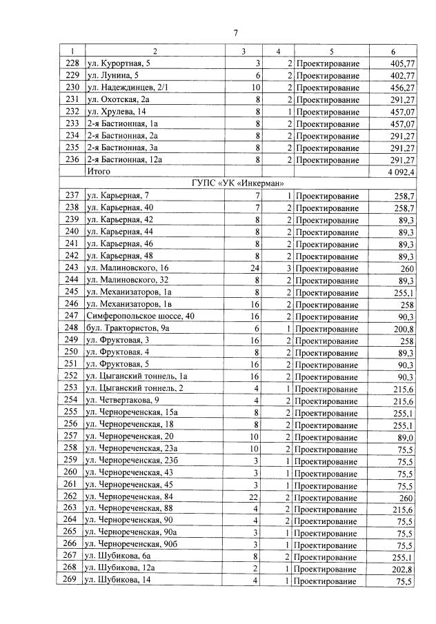
Постановление Правительства Севастополя от 24.06.2019 № 416-ПП "О внесении изменений в постановление Правительства Севастополя от 01.02.2018 № 57-ПП "Об утверждении Порядка предоставления субсидий юридическим лицам (за исключением субсидий государственным (муниципальным) учреждениям), предоставляющим услуги по содержанию жилых помещений в многоквартирных домах, на финансовое обеспечение затрат по мероприятиям подпрограммы 1 "Улучшение технического состояния и развитие жилищного хозяйства города Севастополя" государственной программы "Развитие жилищно-коммунальной инфраструктуры города Севастополя"
Номер опубликования: 9200201907010006
Дата опубликования: 01.07.2019
Страница №9 из 10:
Увеличить